In Multivariable Calculus today, I let my kids loose. We are starting our chapter on multiple integrals, and I generally start out just dryly explaining what integration in higher dimensions might look like. But today, I decided to scrap that and have my kids try to see if they could generalize things themselves and come up with an idea of what integration in multivariable calculus would look like.
It was awesome. They immediately picked up on the fact that it would give you (signed) volume. That was great. They realized the xy-plane was equivalent to the x-axis. With some prompting, they understood we weren’t integrating over a 1D line (like between x=2 and x=5 on the x-axis), but now on a 2D region. (Of course, a little later, I explained that they could integrate over a line, but they’d get an area.)
Here’s the final list we generated.
It was nice, because students were coming up with some pretty complicated ideas on their own. They were motivating things we were going to be learning. Nice.
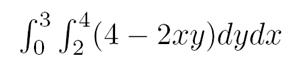
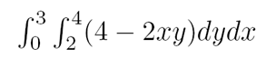
After we went through this thought exercise, still not looking at a single equation, I then threw the following up on the board:
I wanted to see if they could use our discussion to suss out some information about the notation, and the meaning behind it. They actually got that the limits 2/4 correspond with y and the 0/3 correspond with the x. And that the region we’re integrating over is a rectangle. And the surface we’re using is . I mean, they got it.
I then showed them how to evaluate this double integral, briefly. I tried to get the why this works across to them, but we ran out of time and I slightly confused myself and got my explanation garbled. I promised that by the next class, I would fix things so they would totally get it.
Although not perfect (but good enough for me, for now), I whipped up this worksheet which I think attempts to make clear what is going on mathematically.
I strongly believe, however, that this will drive home the concept way better than I ever have done before. If you teach double integrals, this might come in handy.
PS. I, a la Silvanus P. Thompson in Calculus Made Easy, talk about dx and dy as “a little bit of x” and “a little bit of y.” So if you’re wondering what I’m looking for question 2 on p.2, I want students to say dy. Then the answer to A is . That’s the volume of one infinitely thin slice. Now for B, we have to add an infinity of these slices up, all the way from y=0 to y=2. Well, we know an integral sign is simply a fancy sign for summation, we so just have


Just so you know, I am totes jealous of your worksheet-making capabilities. When you say, “I whipped up this worksheet,” I see something that would have taken me
515 hours to make. And such great formatting!Oh, thanks! Making worksheets is easy for me (this one probably took me 30/35 minutes from start to finish?). It’s coming up with the idea behind the worksheet to get my kids from POINT A to POINT B that is tough.
(In this case, POINT A is knowing that a double integral somehow relates to volume… POINT B is actually understanding how the double integration works abstractly. The vehicle? Using a concrete example, but being gentle about it.)
Damn it. Failed strike-through joke with some bad HTML skills.
Once again, this is really fantastic. Who’d have thought that a worksheet could generate such transcontinental excitement? :-)
Elizabeth (aka @cheesemonkeysf on Twitter)
I actually used it today in class, and even though it took longer than I suspected (the whole 50 minutes, from start to finish, with a few asides), it totally worked.
At the end, when I asked a student to summarize how s/he could explain double integrals, s/he did a killer of a job. It was excellent.
You’re integrating first to get a cross section, then you’re adding up all the cross sections (which is integrating again).
Thompson’s book is such a classic! I have an ancient copy that my grandfather gave me, that he had also used. If only all textbooks were written by fools like him (although he should have classified himself as one of the clever fools for being able to do so)