Here is Part I. Read that first! Also, I’m trying to write and post this quickly, so sorry if it is incoherent, monotonous, etc.
Okay, so now kids understand machines have inputs and outputs, and they understand that the “rule” can take different forms: words, equations, tables, and graphs. Wonderful.
Machines to think about Functions vs. Non-Functions
So recall that our definition of machines was:

So I had kids try to see what might go wrong with these machines…

From our conversations over these problems, students were able to see which machines were “problematic.” At this point, I told them machines that worked were called “functions” and machines that didn’t work were called “non-functions.” Conversations we had:
- We talked through what made something a function (every allowable input had a single output) and which made something a non-function (there was one allowable input that has multiple outputs).
- I had kids look at the graphs and come up with a quick way to “see” if a graph was a function or not… so from this, they came up with the vertical line test on their own.
We did a lot of practice with this idea. Kids were asked to look at a bunch of representations and decide if they were functions or not. And if they weren’t functions, they had to provide a concrete example showing where they failed (e.g. for (g) below, an input of 2 gives two ouptut of 2 and 4.)

By the end of this, I was very confident kids understood the idea of functions and non-functions.
Combining Basic Machines
Okay. Here’s where we start to get more abstract. I start telling kids that for now, we’re going to focus on four basic machines (machines with add, subtract, multiply, and divide)… but because I’m lazy and can’t make cartoon machines all the time, I’m going to come up with a simplified notation for them…
You, dear reader, might wonder why I’m using “blah” in these machines. That’s because it is helpful when we start combining machines:

Yes! It’s like a conveyor belt. Each machine takes in an input and spits out an output… that then becomes the input of the new machine… So they could start figuring out questions like these, which made me happy!

Now #17 was really tough for kids. But I let them struggle before guiding them. From this one problem, students could start seeing how equations and machines were related. By the end of our conversation, kids knew the line was . So if they have an input of
, they multiply that input by 2, and then they add four to the result. Which means the machine would be:
____[blah*2]____[blah+4]_____
And so students started plugging in various values for the initial input (x value) and saw they got the final output (y value). Then we substituted x into the machine… and got 2x for the middle blank, and then 2x+4 for the final blank! Seeing that really helped kids drive home the connection.
Some kids got the second way to write these machines by trial and error. But I was hoping they’d rewrite . And then think if they have an input of
, they first add two to it, and then they multiply that result by 2. Which means the machine would be:
____[blah+2]____[blah*2]_____
Creating Machines from Equations and Vice Versa
We then became comfortable going from a machine representation to an equation representation, and vice versa.
If I gave students: , they would say: we cube the input, multiply it by two, subtract 4. So the machine would be _____[blah^3]____[blah*2]____[blah-4]_____.
Or if I gave them: , they would say: we take the input and multiply it by -1, we add three, we take the square root of that, and then we multiply by -1 again. So the machine would be _____[blah*-1]____[blah+3]____[sqrt(blah)]____[blah*-1]_____.
And also in reverse, students could be given a machine, and easily come up with the equation by substituting in for the input, and come up with the output. So:
___[blah-3]___[blah^2]___[blah-4]___
would look like: ,
,
,
. So the equation represented by this machine is
.
Basically, students are seeing how the basic equations are built up and broken down. What’s nice about this is order of operations starts to really get emphasized and naturalized.
Creeping Up To Inverses
At this point, kids are comfortable with combined machines. And so I throw them a backwards question, something they’re used to (since they’re my favorite type of question to give kids). First I start off concrete…

… where they were doing a lot of thinking about inverse operations. But then I had an activity where students were trying to create machines that would “undo” another machine. By the end of this activity, students were starting to create their own inverses. They could do problems like this:
I give you this machine which I will call machine : ___[blah-5]___[blah*7]____,
You need to tell me what machines I could append to the end of machine would make any input be the same as the final output.
So kids eventually saw the appended machine would be: ____[blah*1/7]___[blah+5]_____
So the big machine would be: ___[blah-5]___[blah*7]____[blah*1/7]___[blah+5]_____
And any input would also be the output (e.g. if we put in 1, we’d get 1 –> -4 –> -28 –> -4 –> 1.)
We called the machine created the inverse machine… and we named it machine .
So the inverse machine of ___[blah-5]___[blah*7]____ was ____[blah*1/7]___[blah+5]_____. Kids saw we “read” the original machine backwards, and did the inverse operations.
From this, we started going into inverses of lines:
Eventually, we got to the point where kids would be given . To find the inverse, they would create the machine for this: ___[blah^3]___[blah+4]___. And then they’d create the inverse machine: ____[blah-4]____[cuberoot(blah)]___. And then they’d find the equation that this machine represents by substituting in
:
.
So questions like these didn’t really faze them:

Inverses with more representations…
From here, I started having kids come up with inverses of tables. I reminded them that if we combine a machine with its inverse, whatever we input into the big machine should be the same output… So let’s see what happens…
And this was lovely… We’re combining two tables… and our goal is to create a large machine that when an input goes through both of machines, the output would be the same!
So look at the two tables above as rules. And we’re going to combine both tables to make a big machine. So kids saw from this that if we put an input of -3 into , we’d get 5 as an output… and when we feed 5 into
, and we must have -3 as an output (since the output after going through both machines have to be the same as the initial input). So the inverse table is going to look like the original table, but with inputs and outputs reversed.
Why is this so beautiful? Because from this, kids saw that for inverses, the domain and range swap. And they also saw that to create an inverse, you simply have to switch the x-values and the y-values with each other. You get all of this for free!
And then I gave them graphs, and told them (with no instructions) to come up with the inverses… But since they had done tables, and see how the tables just swapped the inputs and outputs to get the inverse, they had no trouble drawing the inverse graphs.

And it’s lovely. Because they figure this out all naturally. I didn’t have to tell them anything but kids were accurately drawing inverse graphs. Putting the graphs right after them doing inverse tables was genius! And some kids came up with the fact that inverse graphs were reflections over the line themselves!
Of course, sometimes inverses exist but aren’t functions… So I threw everyone some curveballs…

And they saw how they could create the inverse… they could fill in the table or graph… But they saw why the inverse was “problematic” (a.k.a. not a function).
So now kids were thinking: okay, what’s the inverse? Is the inverse a function or not?
I drove this home with lots of questioning… We had previously looked at these questions and decided if these each were functions or not. But now kids were able to decide if their inverses were functions or not.

They immediately were looking to see if any outputs had multiple inputs associated with it. And they came up with the horizontal line test on their own. It was glorious.
Going The Very Last Step with Inverses
From all of this, kids learned so much. They saw how to graph inverses. They saw the inverse graph is a reflection over the line . And then we drove home the idea that the inverse graph is the same as the original graph, but with every x-coordinate swapped with every y-coordinate. To polish everything off, we saw the equation for the inverse graph can easily be found by swapping the x variable with the y variable.

So the inverse of was
.
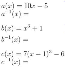
So finally, my kids could answer questions like:

Sorry this was so long and scattered. But stay tuned. My favorite thing is coming up… whenever I get a chance to write the next post!


So for the sandwich one, we know the range is {yes, no}. And the domain might be {all foods} or {every physical thing in the universe}. We talked about the ambiguity and how for these non-math ones, there might be multiple sets of domains that make sense. But then for the math-y ones, we saw there was only one possible domain and range.






















