One class that I think I am pretty free about, and we have some fun in and get to explore and go through a lot of productive frustration, is my multivariable calculus class. I had 5 students in it last year. (*As he ducks from the rotten vegetables hurled his way, and collective groan from the crowd.*) Sadly, next year, there will be no students eligible so I won’t be teaching it.
My favorite thing from this course is the fourth quarter projects that all students do. We don’t have problem sets, we don’t have any tests or quizzes. Just this thing.
At the beginning of the year, I tell students to write down random things that pique their interests, whet their appetites, for the fourth quarter project. Whether it be higher dimensions, to the notion of curvature and what that might mean for surfaces, to the use of optimization problems in various fields, to whatever. As the class goes on, I’ll mention some interesting tidbit here or there and sometimes they’ll add it to the list in the back of their notebook. And then comes the fourth quarter, where they basically get to pick anything they want, they write their own project prospectus, they write their own rubric, and they just go at it. I give them some options, but they don’t always go that way.
I meet with them once a week or every other week (or more if they need it) and provide guidance and support, sometimes needed, sometimes not.
This year I had some excellent projects. I can’t believe I didn’t outline them for you when we finished the year, so I will outline them now. What was great is that some parents got to come to the final presentations, and so did my department head, the head up of the upper school, and some math teachers. Different days had different audiences.
1. The first project involved constructing 5 intersecting tetrahedra out of origami and figuring out the “optimal strut width” (the width of the “beam” of each edge of the tetrahedra) so the tetrahedra just sit beautifully within each other without having them wiggle around (too small) or bend to fit together (too large).
This problem involves multivariable calculus, believe it or not, but also involved some really beautiful precalculus work meshed with 3D (basically, using roots of unity and some right triangle trigonometry) to find the vertices of a dodecahedron. I also have to say that making the darn thing was totally hellish and the student who did it is a super rockstar. She also wrote a really comprehensive final paper explaining the calculations. Color me impressed.
2. Another student, who is a nationally recognized runner, wanted to investigate the following question: if you have a random surface with a local maximum, and you put yourself on that surface, and you wanted to get to the maximum, how would you get there? Instead of taking the shortest path (which would follow the gradient), the student conjectured that if you ran along the least steep path you will run faster, and if you run along the most steep path you will run slower. So there is a tradeoff, and there will be a path to run in between those two choices which will be optimal. So the student and I constructed a function to model the velocity of this runner. Although together we couldn’t actually get a general answer, or even a specific answer for a specific surface and point we chose, we had fun struggling through it. The student also created an accurate model of a one surface that the runner would be running on (the one that he did his calculations for).
3. Another student, for an earlier problem set where they were asked to write their own problems, studied the idea of marginal utility in economics and related that to Lagrange multipliers. This student was one of those kids who is interested in everything and he really loved studying marginal utility, and wanted to extend it and see how else multivariable calculus was used in economics. So he pretty much devoured this book on his own. Although he didn’t find too much multivariable calculus, he became enamored with the idea of the utility function, and decided to make a 50 minute class lesson on economics and calculus with an emphasis on the utility function. It was so well thought out, and so well delivered, that I think that teaching and simplifying ideas might be this kid’s calling. He also wrote an amazing paper outlining everything from the presentation (and more that he couldn’t fit in), and a problem set for students to work on after the presentation.
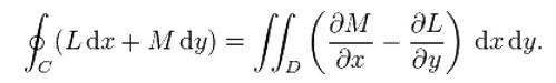
4. Say you have a blob drawn on graph paper, and you wanted to measure the area. What if I said: there is a mechanical device that if you drag it along the perimeter of the blob, it would calculate and tell you the area? True story, this exists, and when I described this to a student struggling to find a project… a project he was insistent he wanted to make with his hands… he was hooked. The device is called a planimeter. It sort of makes sense that something like this could exist… I mean:
(that’s Green’s theorem). So this mechanically minded student first built a trial version of a planimeter, using pencils, binder clips, and a bottle cap. And it worked fairly well. So then he built a giant and much more sturdy one. You can see this student holding his “draft” version and on the table is his professional version.
This student did almost all the work without me (which is good because I have no idea how to work with things mechanically). I basically only helped him understand some of the math behind how the mechanical device worked. The end result was that the professional device worked fairly well, but I think given another week, it could have been tenfold more accurate. Time is always the sticking point with these end of year presentations.
5. The final project was one of my favorites, because it involved me really going back and learning some simple partial differential equations. How this project happened involved me showing this student the following video:
Of course this video can’t but help stir the imagination. So this student wanted to build the device (called a Chaldni plate) and study the math behind it. It turned out that building the device was a bit beyond our capabilities, so we enlisted the help of the science department chair who super generously ordered a chaldni plate (he had the driver already) and helped get him set that up. I, on the other hand, did some research on what causes those beautiful patterns. Together, that student and I spent hours upon hours tearing through a paper — me doing a little lecture, him reading and asking questions, and so on and so on. And at the end, this student wrote his own paper based on our reading — explaining the math behind the designs. Although I don’t think he fully understood everything (we had not nearly enough time to make that possible), I loved that he got a touch of all these small things in higher level math. Orthogonal functions and Fourier series. 2D and 3D waves. Boundary conditions and time-dependent partial differential questions.
And his Chaldni plate worked.
PS. Apparently, I didn’t do a good job of blogging about my projects from previous years. Two years ago, here is what my kids did. And last year, I didn’t really write about it. Yikes! One student did a wonderful investigation on higher spatial dimensions, and how to extend what we’ve done into them — focusing on actually visualizing these dimensions (she really really really wanted to see them). The other extended a 2D project on center of mass that someone worked on the previous year, and I wrote about it obliquely here.







I understood like zero words in this post, but I understand enough to know you and your kids are freaking awesome.
My kids, for sure. Def my kids. I miss them. They *were* freaking awesome.
For project #2, I thought you would like to read http://www.math.oregonstate.edu/bridge/papers/MHclimb.pdf and realize that the gradient path is not the shortest!
WOAH! I have been under this misapprehension since… well, forever. THANK YOU. I can see this turning into a good tangent week the next time I teach MV Calculus. You’re awesome. And also: how embarrassing.
Wow! I love it. I understood just enough to wish I could be a student in your class to soak up the rest.
Sam, these projects are positively sick. That you have so many students willing to cowboy/girl up and tackle big projects like this is a testament to the culture of your classroom.
I can’t help but feel like project #2 is a sort of 3D analog to the brachistochrone problem (in reverse?) we monkey around with my physics class – it seems like a sweet springboard into the calculus of variations if one feels so inclined.
Thanks for sharing, Sam.
(It feels good coming out of the lurker closet)
(parentheses)
Yaaay for coming out of the lurker closet! Next you know, you’ll be starting a blog. Yaaay!
Ah, yes, calculus of variations. I should have thought of that as a direction. C’est la vie. As for “a testament to the culture of your classroom,” there were only 5 kids and they love math, so it wasn’t like it was hard to get ’em on board. I wish I could get my other classes to be nearly as invested in the type of sustained hard worked and ability to work through frustration that these kids had to go through. In those classes, I’m still taking baby steps to become less-lecturey.
I’m so jealous!
Yeah, the kids last year were pretty awesome!!!
I’d really like to read the student’s paper on the tetrahedra if it’s available! I’m currently taking multivariable calculus and my girlfriend does origami and I’d like to explore that math with her.