Author: Bowman Dickson

Math Taboo

I participated in a great twitter conversation the other day where we brainstormed a few strategies to help make our courses more accessible to English Language Learners (we used the hashtag #ELLmath, the approximate transcript is here if you are interested). It was a great start to what needs to be a running dialogue for me, as I teach almost 100% students for whom English is not their first language. If anyone has any ideas about #ELLmath, I would love to hear them in the comments. The conversation reminded me of a little idea I had last year, playing the game Math Taboo to help students expand “definitions” to actual understandings of concepts. Now, I’m sure other people do this, and a quick Google search leads me to believe it’s not all that novel, but while discussing #ELLmath, it struck me as a particularly good exercise for ELL students.

The idea of the real game is to get your partner to guess a word by describing without using any of the five taboo words, which are usually the first words that anyone would go to in a description. So the obvious math equivalent is to pick a term that you are throwing around in your class and get students to describe it without using their go-to math descriptors.

We played during beginning-of-the-year-review as a class, with the word to guess already known to everyone, and I gave students a chance to take a stab at verbalizing a definition without using the taboo words, one at a time until we got an acceptable description. However, this could easily be adapted to be a much more interactive activity (though its creation might take just a bit of time).

So why play this?

Whenever working one on one with students, I found myself trying to diagnose why they were not understanding a problem. I would ask them things like, “Well, what is a derivative anyway?” and they would often answer with something that I found acceptable, but perhaps could have been just something that they had figured out should be said as the “correct” answer. Even if they weren’t saying book definitions (which would actually be easier to deal with), many times they were using my informal definitions – words that they had internalized about the concept that might not actually display a deep understanding, but that I had been mistakenly accepting as evidence of learning. Definitions are important, but assuming that those are indicators of deep understanding is, of course, very problematic, no matter where those definitions come from.

So, this Taboo game serves a two-fold purpose: learning for the students (by forcing them to think deeply about a mathematical concept; by having them trade in math jargon for conceptual understanding; and by hearing classmates describe something in more accessible vernacular) and learning for me (by seeing how well students actually understand a concept; and by seeing what language students use to talk math in the hopes that my mathematical narrative can better reflect theirs in the future).

Alternative game: In how few words can you express this definition?

I have never tried this game I’m about to describe, but the idea is to start out with a long definition from a math textbook and see how few words you can use to express the same idea. Delving into the Twitter world this summer I have realized how wordy I am, and the process of editing my tweets down has made me realize how many words I use that are unnecessary. Twitter forces me to think about what is the core of my idea, which led me to think up this exercise. This could be done competitively (give groups 5 minutes to brainstorm), or you could do it countdown style, trying to lower the number of words by one each time. This could get students to really consider what is important about a mathematical concept and to get them to realize that the thing itself is more important the words you use to express it.

Our Experience with Understanding by Design

This post was written by both Sam and his guest blogger, Bowman.

At the Klingenstein (Klingon) Summer Institute, we (the illustrious Sam and Bowman) participated in planning a unit in the style of a Performance Based Assessment, which is very similar to method of planning advocated in Understanding by Design. Normal people just call it backwards planning. Whatever you name it, the core of this philosophy is that Enduring Understandings should be the focus of curriculum design, and not skills or learning activities. With a third (also illustrious) Calculus teacher, we put together a rough draft of a unit planned in this manner.The big idea of the unit was the Relationship between Limits and Rates of Change.  We decided that by the end of the unit, we wanted students to understand that: curves can be conceptualized as a joining together of almost linear pieces; and an infinitely fine approximation of a quantity is often needed to yield the exact value.

This was a difficult process. We thought it might be helpful to share some thoughts about planning this way and share some of the ways that we approached backwards planning at KSI. Here is the completed, though still rough rough rough, product [update: see the bottom of this post for another group’s work]:

What do you think an Enduring Understanding is?

SJS: It’s funny. When I was first introduced to UBD at my school for curriculum mapping (barf, BARF, BARF), it was exactly at “enduring understanding” that everyone threw up their hands and gave up. Partly because we’d show it to the consultant, and she’d say “no” and then give us no guidance from there. Partly because it forced us to grapple with exactly what it is we wanted the kids to learn, and dig down to the core of what we really valued about what we taught.

At the Klingon Institute, our math leader (also illustrious) said something that really spoke to me. He said “an Enduring Understanding is something you want your kids to remember 5, 10 years from now.” It sounds lofty, even corny. But when I took a moment to really think about it, it struck me: I need to know what it is I truly care about, and this is it. But thinking in this way — what truly is at the core, mathematically, of what you’re teaching? — is terrifying and hard. Especially if you’re something who has always focused on units and skills. It is also exciting, because you get to come up with Big Ideas and use those as your lesson/unit/yearlong themes. But honestly, more terrifying.

The other half of what an Enduring Understanding is, is that “it has to be something general, but not vague.”

If a student asks you “why are we learning this?” and the best you can do is say “well, you’re learning that so you can learn calculus [or X]…” and then they get to calculus [or X] and you say “well, you’re learning this so you can do engineering and open doors…” I’ve been known to do this. BARF. How unsatisfying for a student. And if I’m not mistaken, every time you say something like that, you yourself get a sick, guilty feeling.

A really good enduring understanding should put a stop to this infinite regression, and those guilty pangs you feel. Because you know exactly what it is you want a student to take away — and you can tell ‘em, loud and proud. Okay, it may not always be sexy, but it is something fundamental they can latch onto now.

BD: I think that everything that Sam just said is perfect, and considering we learned about these at the same program, I’m not all that surprised that we have a similar enduring understanding about what enduring understandings are. The only piece I would add is that it helped us to start all Enduring Understandings with the sentence “I want students to understand that…”

SJS: I’m going to emphasize that “I want students to understand that…” is needed when creating your enduring understandings, but you cannot lazily make it into a skill. Something like “I want students to understand that when solving a radical equation, there may be extraneous roots” sucks. That’s too specific, and is a single skill. It should be something that applies more generally, like “I want students to understand that sometimes the best way to count in math is to not count.” (That might be for a unit on combinatorics.)

BD: One additional point I would like to make though is that, though the final product (your list of enduring understandings) is hugely helpful, I found the most helpful part of curriculum design like this was collaboratively going through the process of trying to figure it all out. Attempting to articulate ideas and sift through the wide world of math to find the meat forced me to think so deeply about my curriculum. To be honest, I’m not sure how useful a list of someone else’s enduring understandings would be to you. It’s like taking someone else’s lesson plans – unless you think about it and modify it to be your own, it’s hard to implement in your own classroom.

SJS: I also think the process was valuable, but I’d disagree with Bowman about not finding others’ enduring understandings useful. I have limited time, am sometimes (often) lazy, and I can get on board with someone else’s enduring understanding if I buy into it. Like, for example, Bowman is going to come up with a whole host of enduring understandings for calculus, and I’m going to steal them. Right, Bowman? Right? Why reinvent the wheel when Bowman will carve it for you?

BD: If you’re happy with slightly-to-horribly-misshapen wheels…

How can Big Ideas and Enduring Understandings help you organize your curriculum?

BD: It’s easy to get caught up in using the book’s sequencing of content, but thinking about big ideas and enduring understandings can help rearrange everything else to help promote those enduring understandings above everything else. For example, next year we will explore solids of a known cross section before solids of revolution, because the enduring understanding in solids is that if you stack up a bunch of infinitely thin cross-sectional areas, you can create a solid. Solids of revolution are really solids of known cross section too, just with circular cross sections – the revolution is just a way to construct the solid, not the main idea behind the integral. By talking about solids of known cross section first, it might be a good way to highlight the deeper idea without getting caught up in a multitude of smaller ones.

SJS: You might think textbooks give us Big Ideas — quadratics, conics, etc. But Big Ideas are not topical, but transcend topics. As for how they can help me organize my curriculum, I don’t know yet. I do think they are going to be the anchors of a class.

BD: A list of big ideas in mathematics that we generated with a group of 13 awesome math teachers at KSI: models, functions, dimension, relations, transformations, estimation, comparison, distributions, measurement, operation, conjecture, representations, rates of change, logic, proofs/reasoning, inference, mathematical objects, classification, systems and structure, definitions, inverses, algorithms, patterns, symmetry, equivalence, infinity/infinitesimal, and discrete vs. continuous.

SJS: We like this list, but it seemed too birds eye view for us. When we worked on it, we found it made more sense to just zoom in a wee bit. Our big idea again was “The Relationship between Limits and Rates of Change”. It’s not like there’s a right answer to how to do this. You have to do what’s useful to you.

BD: So what’s the different between a BIG IDEA and an ENDURING UNDERSTANDING then? The point of big ideas is to give you thematically lynch pins around which to organize your curriculum instead of the typical CH 1.4, CH 2.3 – i.e., what ties all these topics together? The same big idea can occur across many different math courses. Then the enduring understandings are the learning outcomes that you want to come out from exploring these big ideas (see above for a much better description).

How do you assess Enduring Understandings in SBG?

SJS: Right now I honestly have no idea. Right now I’m thinking of making SBG 70% of the grade, and Big Things (projects, enduring understanding assessments, problem solving) 30% of the grade. Or something like that.

BD: The big thing that I am going to add to my class next year is writing for informal assessment. Even if it doesn’t count for standards grades in SBG, I think that I might just keep a list of enduring understandings for my own purposes and informally assess the students as I go through the semester. Then, when larger assessments come around, I will explicitly focus review around enduring understandings. Since standards in my SBG-hybrid system only account for around 40% of the grade, I think I will keep my SBG standards to be skills and focus my summative assessments around larger ideas, though I will make sure to be explicit about this with my students. This of course is not perfect, but like Sam, this is something I’m wrestling with.

How can you do this sort of work without having Noureddine (who was our curriculum group leader) giving you feedback?

SJS: That’s why we have blogs — for feedback! But I suppose the some questions you can ask yourself (regarding if you have a good Enduring Understanding):

1) Is it general, without being vague?
2) Do multiple “skills” fall under the mathematical principle/idea your Understanding encompasses?
3) Of all the content related things, is this something you’d want a student to remember 5 or 10 years from now? Honestly? REALLY? Okay now, really?

BD: One of my goals next year is going to be to more effectively utilize the resources at my school, i.e. the other teachers in my department. The more people that collaborate on something or check out your work, the better chance it has of being something valuable. I know this is a general principle, but I would have the temptation to not go to other members of my department because they don’t already plan like this – I am definitely not going to fall into that trap next year.

Does this sort of thinking re-orient (re-frame?) the way you look at teaching, or the meaning of what math class is?

SJS: For me, it’s helped me see the value of looking for a bigger picture. It’s complicated,  the question of “what do you teach?” Right now I teach skills, and I can do that pretty well. But skills for what? That’s the real question I’ve done a bang up job of dodging. So when I worked on this, it forced me to countenance that head on. What do I really want to give to my students, mathematically? [1] Example: It’s not completing the formula, say, but it’s the idea that you can transform a non-linear equation (x^2+6x-3=0) into a linear equation to help you solve it (by reducing it into x+3=\pm \sqrt{12}). I suppose it makes you think more about the larger themes of a class, or something.

[1] I’m not talking about habits of mind, or those sorts of things. What I’m talking about here is purely mathematical content.

BD: When you have a group of unruly students who will be sitting in front of you for 45 minutes every day, it is easy to get caught up in the day to day of lesson planning. The first thing I always jump to is the learning activities. To give myself a bit of credit, I think I often had an idea, though subconscious, of the bigger picture, but by never spelling it out for myself, I could never really spell it out for my students either. It’s hard to take the time when you start planning to think about big ideas, but I found in just the one unit we planned together that once we had identified the enduring understanding, solid learning activities were so much easier to come up with. This hierarchy has helped me see that I can’t really implement learning in my classroom until I frame what learning really means in terms of big ideas and enduring understandings.

SJS: Here’s a gedankenexperiment. If you asked your kids at the end of your course what the big mathematical takeaways were, what answers would you get? If I asked my kids that question at the end of the year… well, it would be a crusty hodgepodge of things. They don’t know my mathematical goals for the course, and clearly that’s because I myself don’t know my goals. Not broadly, not meaningfully.

What was the most frustrating part about curriculum design like this?

BD: I am someone who is good at working within a framework and tweaking that, but this involves rethinking the whole conceptual framework of your class. Also, it was frustrating to realize that all of my SBG standards were skills, and that I didn’t ever explicitly identify the big ideas. Being self-critical without being self-deprecating (and not in the funny way) is tough for me, but that’s partly what this process is for.

SJS: So many things, so many things. The gads and gads of time it took. The supreme annoyance when we couldn’t come up with a good Enduring Understanding or Big Idea. Our inability to easily come up with good assessments to check exactly what it is we wanted the students to learn. But mostly, it was what Bowman noted: realizing that even though I’ve taught Algebra II and Calculus for four years, I don’t really have a sense of what it is I truly want students to get out of it.

Are you going to change your teaching because of this?

SJS: I want to say yes, but I don’t think it’s something I’m going to be able to do wholesale. I think I’m going to try to do only one unit using this sort of planning — but do it really well. (That’s what our illustrious Klingon curriculum leader suggested.) And build up from there, each year. This is all a little lofty for me, and it’s no magic bullet for student understanding.

BD: Even if I don’t formally plan units this coming year with this method, I am happy to have my thinking shifted to be more in terms of big ideas and enduring understandings. Like, after you spend forever looking for new shoes, all you can notice about other people is their shoes – I’m hoping that even if I teach the way I did last year, I will be able to pick out the big ideas in the process and focus on those. Then codifying and formalizing unit plans into grand designs like this will be much easier in the future.

SJS: Kudos, sir, kudos. We can use this year to brainstorm these enduring understandings, as we teach and ask ourselves, forlornly, “what the heck is the takeaway from the rational root theorem?”

BD: Good luck with that.

Update: Another Klingon group said we could share their unit planning (for Algebra I) which is below.

“Sticky” Notes

This past week, I attended a less-than-inspiring AP conference for AP Calc, as I am teaching the course for the first time come September. Though some parts were helpful, the presenter spent almost all of the 8 hours every day just lecturing about Calculus and going through mediocre worksheets with us. He was a perfectly warm and friendly guy, but he was also sloppy, disorganized and often slightly incorrect, not to mention not creative at all. I was pretty disappointed. [Disclaimer: People have given me far better reviews about AP conferences in the past… I think it depends on the presenter organizing].

But, while watching the Calculus curriculum being presented methodically on the board (without any distractions because my wireless wasn’t working), I was struck by how confusing it must be to stare up at a mess of disorganized mathematical notation. I decided to brainstorm ways to improve the taking-notes-from-the-board aspect of my own course – to make my notes more “sticky” in my students mind and to make them more useful for the problem solving. We can all inspire some day to have a completely student centered, inquiry based, problem solving classroom, but even in those there is certainly room for (and a need for) teacher directed instruction… and that can always get better too.

Inspired by Square Root of Negative One Teach Math’s loop to convert logs to exponents to logs and Sam’s Riemann Sum setup, I tried to think of ways to use visual ways to connect conceptual math with notation (which is probably the biggest hangup with my students), to basically create a sort of intermediate form to help make the abstraction make more sense. Here are a few ideas I had… keep in mind I haven’t tried any of these with my students.

1. A Beefier Number Line for Graph Sketching

Problem: One of the things I noticed this past year is that my students would dutifully make number lines to test the derivatives but would sometimes totally forget what they were doing in the process. Also, many would mix up the first and second derivative.
Solution: Have the students immediately interpret their results with visual indications of increasing/decreasing and concave up/concave down. Make the separations on the second derivative number line be double lines instead of one to reflect the double prime part of the second derivative notation.

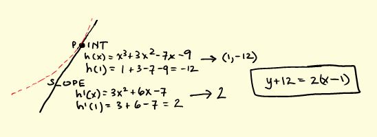
2. A Point-Slope Picture for Point-Slope Form

Problem: Anytime there are multi-step problems, many students either try to memorize algorithms or get completely overwhelmed calculating one thing that they lose other parts in their work.
Solution: Draw a picture of a tangent line and let the point be the O in POINT and the line be part of the L in slope. Then, finding these two items gets you everything you need to find the tangent line. Maybe arranging them vertically and carrying the final part of each step out to the side might keep students more organized. The bonus is that this is a picture that fits with the math and not just a forced acronym.

3. Enhancing Volume Integrals With Pictures of Cross Sections

Problem: The hardest part of figuring out the volume of solids is setting up the integral. Students have trouble figuring out what area equation to integrate and then which variable to use when integrating (i.e. which way to go).
Solution: Draw the cross-section near the solid and an arrow in the direction in which you are accumulating cross sections (or on the problem words if you skip the picture). Then draw the same shape next to the integral sign and an arrow. Inside the shape of the integral write the area equation as you would see it in geometry, and above the arrow write a d-whichever-way-the-other-arrow-goes. Then replace the area equation with something else that is in terms of the whatever in d-whatever. Works for the disk and washer methods in volumes of revolution too.

Okay, so maybe those aren’t all THAT helpful, but I personally prefer thinking about small changes when I have so much on my mind about the school year. Though these are obviously not replacements for deeper understanding, maybe they could be crutches to help students go from something that might make sense to them to the abstraction of notation. Main point: I’m going to pledge to sit down and try to think about how to make notes more “sticky” before every unit.

from @bowmanimal

Frankensongs and Frankenfunctions: Using Mashups to Teach Piecewise-Defined Functions

After a riveting session about brain science at the summer program I attended (where I met Sam!), I wanted to read a little bit more about epistemology. I chose a few books that the presenter suggested: I just finished reading “Made to Stick” by Chip and Dan Heath (about why some ideas stick in our mind better than others and how to turn your ideas into some of those better ones) and am about halfway through “Brain Rules” by John Medina (twelve basic rules about how the brain works). Both were fascinating and will absolutely influence my teaching.

One thing that I have really latched onto is the idea of working with students’ previous knowledge about everything and anything in order to guide and improve learning (both books kind of harp on this). Take this example from Made to Stick where they define a Pomelo (an example which the lecturer also talked about at the summer program):

A pomelo is the largest citrus fruit. The rind is very thick, but soft and easy to peel away. The resulting fruit has a light yellow to coral pink flesh and can vary from juicy to slightly dry and from seductively spicy-sweet to tangy and tart.

If you already know what a pomelo is, that should make sense, and if you don’t, you can still get a pretty good picture of what’s going on. But compare that definition to this one:

A pomelo is basically an oversized grapefruit with a very thick and soft rind.

Both define a pomelo, but the second one uses the crazy ideas in your head to build new knowledge, making a much more descriptive and much stickier idea – not only is it easier to learn what a pomelo is, you will remember it much better. AAAND, the big bonus, it’s more efficient! [Here is a picture of a pomelo, by the way, if you need one. They’re kind of gross, but I am still partial to pomelos – in Arabic, pomelo is “bomaly,” and at first the guards at school couldn’t understand my weird sounding name (“Booooowman”), so they chose to hear the closest familiar thing, and started calling me “bomaly.” The origin of one of my many nicknames.]

Using Schemas in Math Education

I was thinking back to my year to see if I used anything like this in to teach math. I thought of one example, which I wanted to share, and then decided to put out a call for others. Can you think of a specific instance where you used anything from students’ prior knowledge to effectively and efficiently make a mathematical concept stick?

Piecewise-Defined Functions and Music Mashups

When reviewing at the beginning of the year in my Calculus class, I found that a lot of students were surprisingly stymied by the idea of piecewise-defined functions, which kind of blew my mind (this was in my first two weeks teaching math, and I was not expecting this to be a tricky concept for seniors in high school). It dawned on me that piecewise functions (which I call “Frankenfunctions”) are a lot of like Music Mashups, like this awesome mashup of the Top 25 songs from 2009 by DJ Earworm:

I played the song for the class and before connecting it to math, we broke down what we were hearing – like, actually had a brief conversation about what a mashup is (basically, one song constructed from segments of many others, though we went into more detail). Then we talked about the piecewise functions with this context:

  • A piecewise-defined function is one function made up of pieces of many others.
  • Each segment on a piecewise function is just a little part of a much bigger function.
  • The segments are broken down into intervals based on the x-axis (or time axis).
  • In piecewise functions, only one “song” can be playing at a time for it to be a function.
  • Piecewise functions can capture more interesting situations where the relationships between the variables in play changes.
I still got some of the craziest graphs I have ever seen on the following quiz, but the metaphor gave me a way to talk through their mistakes with them and hopefully gave them a way to connect something that is easily comprehensible to the slightly more abstract idea here. Now, this maybe isn’t the best example because it feels a bit cheap and may not get at deep understanding of some of the “whys,” so I will repeat my call again…  Can you think of a specific instance where you used anything from students’ prior knowledge to effectively and efficiently make a mathematical concept stick?

from @bowmanimal 

How I Grade Tests to Mine Learning Data [quickly]

For my first year using Standards Based Grading, I was an SBG-hybrid teacher. The standards that I used made up about 30-40% of students’ overall grades (the category weights changed over the course of the year) and I still included the traditional categories of Tests, Quizzes, Homework etc. This is for two reasons: I was really hesitant to change everything all in one year and I also felt compelled to fit with our departmental grading policy. Next year will probably be the same, almost entirely because of the latter pressure. I got into a little bit of hot water because I didn’t really explain what was doing very clearly at the beginning of the year – anyone else have the same problem?

But traditional “summative” assessments can, of course, still provide data you can use to guide your teaching and student learning. When I first started grading tests I would try to eyeball which problem students were getting wrong and then try to remember at the end of grading what skills or concepts they were struggling with. I felt like I definitely would pick out the major ones, but also felt like I was missing a lot. So I brainstormed a way to solve this problem and began grading all of my tests with Excel spreadsheets. Now I see something like this when I grade a test:

That might be a bit hard to see, but basically it’s a breakdown of what percentage of my students got each individual part of each problem correct on a test from this past spring (the actual spreadsheet goes a few more columns over to have the overall score too). I found that this gave me two main benefits:

  • Surprisingly faster grading (even with compiling all the data) with less totaling points mistakes
  • Extraordinary amount of data about specific parts of test problems that I could use to guide learning and to revise assessments from year to year

–> Example of a completed test grading spreadsheet

So how does this work?

1. The Setup
(this takes me about 10 minutes now, though took longer at first)

  • First, I start by placing the breakdown of the points for each question in the second row. This all depends on how you grade tests, but I generally have 6-7 questions on a test that are all broken down into a bunch of individual points for various items like “splitting up the area into a few parts,” “setting up the integral,” “simplifying the expression” and “correct answer.” This forces me to decide beforehand what is important in each problem and how I’m going to grade it. I put little notes above each point for me to remember what each point is for (and again, these force me to award points for specific things rather than a 6/10 for an “almost got it” answer).Then, using a summation (this is important), sum up all of the points into a total for the question and place this under the question number.

  • Then sum up all of the question totals to make the total number of points on the test. 
  • Last, using that row you created, fill down as many rows as you need for as many students as you have (plus one row that you can keep at the top to remind you of what each question is worth and the totals). If you use the fill function, the equations that you created in the previous step will stick with you.

    Now you’re ready for the actual grading process.

2. The Actual Grading

  • Pull out a student test and enter that student’s name in the first column next to their row of points. You can either grade page-by-page/question-by-question or student-by-student, but if you do page-by-page (which I prefer) just keep the tests in the same order. Then, when a student misses something, just enter a 0 in the space for that point. So if Bart correctly identified that the y values are needed in a Riemann Sum as the height of the rectangles, but used the wrong x’s to calculate them, you can leave the 1 in the y column but change the column about the x’s to 0. Notice that it automatically totals how many points he earned both for the question and for the whole test.
    Continue doing this until you have graded all the tests. This is the part that I find makes everything faster. The spreadsheet automatically totals everything so you can concentrate on making helpful remarks on the test instead of totaling points.

3. Reflection
(the powerful part)

  • Okay, so all of that is nice, but wouldn’t be all that worth it considering hand adding works fine (math teachers = good at mental math). But here’s the powerful part – now with one click of a button, you can see how the whole class did on specific parts of specific problems. Just average the responses for a specific question by averaging the column.
     ………
  • Then fill the equation all the way from the left to the right covering all the individual parts on each question, the question totals themselves and the test total itself. You automatically have averages for everything now.
     .
  • So check this out: The students did overall mediocre-ly (I love making up words) on both questions, but now we can see that they totally understand specific parts on both questions and totally bombed others. I often color code it with the “Conditional Formatting” tool to make this even more visual (only works if everything is out of 1 or you scale everything to be a percent of the total points offered):
     .
  • Now when you go to review, remediate and revisit, you can ignore the green items and focus much more on the reds and oranges. You could even try to judge if the part that NOBODY got right was even a fair question in the first place and use this datum to analyze your assessment.
  • You can also use a lot of other Excel features to quickly or do a lot of things like order the students to see grade distribution, curve your test in creative ways if you do that (or see what a bunch of different curves would do), hide the individual points columns to leave the question totals so you can switch between a macro and micro view, and if you input the students’ names in the same order as your gradebook, you can just copy paste right into your gradebook.

I also tend to do a lot of color coding and separate questions by colored bars. This is unnecessary, but makes it easier for me to look at (along with freezing the first column so I can always see the students’ names) Here is my –> example of a completed test grading spreadsheet (same as above).

The Best Part?

One of my favorite things to do though is to compare my data from the Standards to the data from the test. Comparing my formative assessments and my summative assessments. If the Standards are telling me that 92% of the class is rocking the Quotient Rule, but the test problem indicates that only 45% of people can solve a test problem involving the Quotient Rule, what does that mean? Do I need to alter my standards assessments? Was I lulled into a false sense of security by the high marks so I didn’t bother doing any review, or didn’t bother effectively integrating this concept into later material? Did the question I asked on the test line up with the type of thing I had been asking previously, and should it have? Had I been assessing algorithms previously instead of understanding? Lots of grrrrreat questions it raises for me every time.

The Second Best Part

I save all of these files for the next year. This (theoretically) allows me to focus my curriculum revisions on things that weren’t particularly sticky the first time around, and gives me concrete data to compare different approaches used in different classes (if I use some of the same exam questions).

Anyone else do something like this?

from @bowmanimal 

Make it Better: Memory Modeling

“A monk weighing 170 lbs begins a fast to protest a war. His weight after t days is given by W = 170e^(-0.008t). When the war ends 20 days later, how much does the monk weigh? At what rate is the monk losing weight after 20 days (before any food is consumed)?” <– That’s an actual problem from our Calculus book, which I find very amusing. Though it doesn’t really fit Dan Meyer’s definition of psuedocontext, I just get a kick out my mental picture of a monk sitting in a dark room taking a break from protesting the war to scribble away on a notepad trying to make predictions with an exponential model… There are so many word problems that force “real-life” situations into the convenient framework of whatever math topic is being presented in that section. I guess these are supposed to demonstrate to students how useful and relevant math is, but I think we all know that students just find them to be tricky and unyielding disguises to math that they generally know how to do.

There was one word problem that fit an exponential decay model to someone forgetting information, so I decided that instead of just doing the word problem, we would test the model by recreating the experiment. The day after we had a midterm exam, instead of handing back their corrected test, I put them in groups and gave them the following list of 50 three-letter syllables that I generated with a random number generator:

SOQ XAC DOB NEB BAR JYS ZYW GEK TUD ZEM GAK KUR BEN XOQ DUX BYR NIT WAP ZIJ HOG HIQ DUW CUD SAM BIM LIH JEV VEZ QEM GUL ZIQ SEQ JYV GUT XYM XAX BIQ DOJ ROM ZIV QEW JEH CYS ZEM FOM KEG DUC GYK WYQ POD

I gave them 15 minutes to memorize as many as they could and then tested them by having them write down all that they remembered. Then, I handed out the midterms and we started going over them. About 5 minutes later, I had them write down as many of the syllables as they could again. Then, we went over a few problems on the midterm… then another memory test…. then more midterm… then another memory test. They had absolutely no idea why we were doing this, so each time they groaned and complained. And they groaned even more when I opened class the next day with another trial. And then again two days after that… And then a last time a week and a half later. All without studying the list after the original 15 minutes.

Finally, I revealed the purpose of the whole experiment. We collected data and used GeoGebra to fit various models to their data. There were four different mathematical models to choose from that I found from various psychological studies (which I had loaded into a GeoGebra file with sliders so that they could move the various models around to fit their data). Each student picked the one that they thought fit their data best (a function to calculate how many words they would remember over time), took the derivative of that to calculate their “forgetting function” (a function that tells them how fast they are forgetting words at any given time), and then used both to calculate how many words they will remember in a few weeks and how fast they will be forgetting them at the point.

We graphed all of their functions on the same axes (y-axis = number of words remembered, x-axis = time in hours) to analyze which model was best and analyze how their memories compared to their classmates. The results are below. The different colors correspond to the model that each student chose.

        CLASS 1 –

        CLASS 2 –

Now, the clean final result of that graph hides how messy the model fitting part was. Though some students’ data fit well, some didn’t, at all, which was actually really nice. They really struggled trying to fit the model and hopefully realized that a lot of these models that we are dealing with in cooked textbook problems aren’t as powerful as they purport to be. If I could do it again, I would have them use more mathematically sound ways of fitting the models than just eyeballing it (I hadn’t really considered this and realize now that, though it would be an investment in time, it would make the whole thing much better).

But besides doing some authentic math that was individually tailored to each student, my favorite part of the experiment was the followup meta-cognitive discussion. We ended up having a really great conversation on how best to memorize these random things, which then led to a great discussion about how to learn and study best (especially how you should go about studying math). We talked about how some people put the words in context by using a story, some people made patterns by grouping similar items together, and the ones that didn’t do very well talked about how they just tried to memorize these random unconnected things by rote memorization. Many also noticed that throughout the closely connected trials on the first day, their number memorized actually went up, so we talked about how assessment can actually help you learn something too (in addition, of course, to regular practice).

Make it Better.

I have one simple question this time: the thing that I really didn’t like about this experiment was that it was entirely teacher centered. They were in the dark about what was going on (for experimental purposes) until the day that we collected data, fit models and did some quick calculations. How can I make this more student-centered and add elements of inquiry? I have a few ideas, but I wanted to see what other people thought.

Files:

  1. Word document with list of random words
  2. Excel spreadsheet for collecting data
  3. GeoGebra file with various forgetting models, ready to drop data in
from @bowmanimal 

Make it Better: Drawing with GeoGebra

Hello! Though Sam may refer to me as Kiki, don’t be fooled. My name is Bowman and I’m an American dude teaching MATH at a 9-12 co-ed boarding school in Amman, Jordan. I teach mostly Jordanian kids, though we teach an American-style curriculum in English, with sort of international school type outlook. For the past two years I have taught Physics, then last year I picked up Calculus, and next year I’m dropping the Physics to pick up AP Calculus AB. All of my friends can’t really understand why I’m so pumped about this because they think I’m the only person in the world that gets giddy about Calculus. False.

I love the math blogging community and am excited to be delving into it. Though I already have an “I-don’t-live-in-America” type blog about my time in Jordan, I have relied heavily on edublogs to develop as a teacher and I’m looking forward to repaying my debt. And probably like you, Sam’s blog is my fave, so I’m honored that he would give me some airtime. If you ever get a chance to meet him in person, consider yourself lucky. Since the thing that first drew me here was the wealth of practical lesson planning ideas in his Virtual Filing Cabinet (which I check pretty consistently before I plan a unit), I thought I’d begin repaying my debt by sharing some of the creative ideas I have used to present specific material this past year. Acknowledging my youth and paucity of teaching experience, I’m going to title these posts “Make It Better” to indicate that while I think these ideas have a lot of potential, I’m looking for ways to improve them. Enough introduction… on to the math!

Drawing with GeoGebra

For anyone who has not discovered the magic of GeoGebra yet, download it right now and then spend some time this summer playing around with it. It has a nice mix of geometric and algebraic capabilities, with fancy looking sliders and animations to help students visualize or experiment with mathematical concepts. These can be used in front of the class or on individual students’ computers. I ended up using it so much throughout the year in student directed learning that when we did end-of-the-year individualized projects, a majority of my students pulled out GeoGebra on their own to graph something or fit a model to some data. Sweet.

One of my favorite GeoGebra exploits this year was a “drawing” project, where students converted an actual picture into a mathematical picture by fitting functions around the outlines and then using integrals to shade in the area between. For example, they could a picture of a guitar and turn it into a sexy mathematical image, like this:

 >>>   
Basic steps (more detailed procedure below):

  1. Upload a picture into GeoGebra and scale the axes to the right scale.
  2. Place points around all the outlines making sure to hit critical points
  3. Fit functions to the outlines.
  4. Use integrals to shade in the areas between the outlines. The basic syntax looks like this…
    which means the integral between the [top function f, and the bottom function g, from x=1, to x=4].
So I conceptualized this project as a low-key but conceptually rich thing to do during the craziness of APs, and as something that the kids who were going to miss many days of class could do on their own. But it turned out to have some other really cool benefits too. Here are some things I really liked about it…
  • The hardest part about integrals is setting them up and that’s all students practiced in this project. They did absolutely no calculation. (In the age of Wolfram Alpha and TI’s could that be sooomewhat a thing of the past?)
  • The visual nature of the project gave immediate feedback to wrong inputs. If a student chose the wrong endpoints or the wrong functions, the wrong integral that they typed in would show up. They could see what was wrong about it to hopefully figure out how to correct their input, and correct their misconception. The tinkering aspect was maybe my favorite part because they often don’t understand that just by trying something to solve a math problem,  it can point you in the right direction to solve the problem even if it’s “wrong.”
  • It unearthed deep misconceptions about integration. Some students were conceptualizing integration diagonally, some would choose endpoints at completely wrong spots and some couldn’t conceptualize what areas they were trying to “color in” in the first place. I had lots of great conversations to address misconceptions that were at the same time a bit scary because we had already been integrating for a few weeks by that point.
  • Everybody’s problem was different. Each student was forced to visualize what he or she needed to do and had to attack a rather large problem by breaking it up into much smaller pieces.
  • The whole thing was kinda fun. Sometimes I pretend I’m above this, but each student chose a picture they were interested in and then we hung them up in the classroom at the end. And you can color the integrals whatever color you want. Pretty!
Here are some things that I didn’t like about it…
  • Some students totally copped out and chose really easy picture. I wasn’t very clear with my expectations (well, I actually didn’t know what to expect) and as a result a few students chose dumb things. One student did a watermelon… uncut…. like, a whole green watermelon. Or other students didn’t know what would be a “good” picture and chose something that ended up being way too hard, or uninteresting.
  • The function fitting part was a bit ridiculous. You can go really high with the degrees of the polynomials for the function fitting so people would just put points along a really curvy surface and then pick a 73rd degree polynomial that nicely fit the whole thing. I don’t know if this is actually bad, but it felt weird to me.
  • The problem was slightly meaningless. I had them add up the integrals at the end to find the total area, but this was a bit meaningless unless they had chose a flat object.

I can picture something like this being done for lower levels too. The concepts that come to mind immediately to me are piecewise functions and transformations. Instead of having them fit functions to points, you could give them a basic set of functions and force them to manipulate them with various transformations to fit outlines (and then ignore the coloring in part). There are easy ways to limit the domains of functions in GeoGebra. Below are GeoGebra instructions for the various steps and waaaay below are some more examples of student work.

But first, the whole point of this post…
Make it Better.
What do you think? What would you do differently? Do you think this holds educational value even though the problem is contrived? How could I make this more meaningful (i.e. make the result, the integral, not just the picture, actually hold value itself)? Should I give them a set of predetermined images for them to choose from to avoid “bad” choices? How else could I avoid “bad” choices? With what other material could something like this work? Would you use this in your classroom?

from @bowmanimal 

The procedural instructions for the various tasks:

Examples of student work (I had to include the watermelon because I mentioned it):