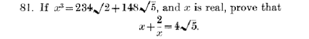
I was browsing old math journals a few days ago and got caught up in looking at puzzles/challenging problems sent in by professors to The Mathematical Gazette (the original publication of the Mathematical Association).
I got engaged in battle with a problem from it’s first year of publication (No. 1, Vol. 7, April 1896 – if you have JSTOR access, see the original problem here). The journal stated that it was a question “from recent Entrance Scholarship papers at Oxford and Cambridge.”
I think it’s a darn good problem, so take a stab at it. I’ll type my solution to it below the fold, but maybe you’ll get a better one? (I went down two wrong roads before I came up with this one…)
SOLUTION
Let . Keep in mind that’s what we’re trying to find. If we calculate
we get something nice:
Rearranging, we get
.
But recall we are given . Simplifying the right hand side of the equation above, we find it equals the very pretty
. (Do you see how? Remember to rationalize the denominator of
.)
Oh! So now we know
. Clearly we know
must be of the form
to yield this answer. So we calculate:
Expanding out, we get
Equating the left hand side and right hand side, we see that
[Eqn 1] and
[Eqn 2].
Let’s factor out an from Eqn 1:
.
Since I’m lazy, let’s first investigate the easy case, if . (If it doesn’t help us, we’ll then consider the other possibility.) If
, and plugging that into Eqn 2, we get
.
This actually can be factored! (If you can’t see that, graph it and find that a nice root is 4.) It factors into:
.
The only real root is (The quadratic yields imaginary roots.) So in fact we don’t need to deal with the other gross zero of Eqn 1 because we have a workable solution. (Phew. Factoring that cubic was hard enough.) We have now found that
and
and we’re done. We have solved for
which was our goal:
An interesting side note is that no one solved and sent in their solution for this problem in time. I searched through a number of subsequent issues to see if there was a published solution, to see if it differed from my own, but I found the journal’s policy:


I got up to u^3 – 6u = 296rad5, but then I got stuck. I didn’t see the insight to substitute a + brad5. I have this inability when a solution is available to not peek. Even though it takes all the fun out of it. Nice problem, thanks for sharing.
Haha, I too am afflicted with this peeping tom disorder. Maybe we should call it “Peeping Pythagoras Disorder” or something cheesy.
However I am still pleased with myself for not looking at the solution to the following problem (from a recent IMO) while I let my subconscious brain mull over it:
Show
if you know
and all three variables are nonzero.
But I’m so frustrated that I might let the disorder take over!
I might be missing something here, but…If I solve the 2nd equation as a simple quadratic, and then cube my solution, and come up with x^3 equals 234*sqr(2)+148*sqr(5), doesn’t that complete the proof? It appears that this only solves the converse of the problem, however, I will have demonstrated that the cube root of 234*sqr(2)+148*sqr(5) indeed satisfies the required 2nd equation.
That seems too easy, but…???
No no, you’re totally right! I I’m pretty sure that’s what I first did. But I think I wanted the challenge of going in the forward direction. Because if the problem asked you to find
in simplest form, you wouldn’t be able to use your method.
But I definitely don’t see anything suspect with your method.