Uncategorized

Knitting Math — Part I

Last summer, my friend and math teacher extraordinaire Peg Cagle started teaching me to knit. It’s been wonderful — something I can do while listening to audiobooks. I’ve been trying to push myself a little bit each time I pick a new project [1]. I’m now working on something called the Boneyard Shawl by Stephen West (who is one of my favorite knitting designers). This is what the final shawl looks like:

Now I was at the library knitting, after writing a college recommendation and needing a breather… and I started wondering seeing some nice math in what I was doing. So I wanted to recreate some of that thinking here and extend it.

Before starting, you should know how it is knit. Here’s what I had at the library:

The way this is knit isn’t across the top like you’d think. No, in fact, you go along the triangular edge, from the left side to the apex to the right side — like the yellow lines I added in show. Then you flip it over and do a basic stitch on the back the entire way. So you’re doing two rows of stitches, one row on the front, one row on the back. So to finish “one full” repeat of the shawl, you go back and forth along the triangle. The four places with DOTS are special places. where you ADD a new stitch the first time you stitch across the triangle, and then you “lock in” those stitches when you stitch across the back. So in total, for each back-and-forth, for every two rows, you’re adding in a total of four new stitches.

And that makes sense — you have to add stitches every two rows — because your triangle is getting bigger!

I then did some counting of my stitches, and found the following:

I saw I had 64+1+64 stitches for where I was at in my knitting process.

I also noticed that I was on my 60th row of knitting. (The top measures how many rows I’ve knit… And from the center, I have 12*5=60 stitches.)

For my 59th and 60th row of knitting, I had 64+1+64 stitches.

So for my 61st and 62nd row of knitting, I’d have 68+1+68 stitches (remember I add 4 stitches every other row)

For my 63rd and 64th row of knitting, I had 72+1+72 stitches.

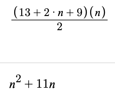
I love that I see an arithmetic series here! So I came up with this gem!

And indeed, it works!

So for row n we have this many stitches:

Now. Okay, let’s make things easier and only use even row numbers… then we get 2(row number)+9.

An obvious question for me is: how many stitches will be in this whole thing?

Well, looking at the original grey Boneyard Shawl picture, I see we have 14 triangles, and then a simple border.

Let’s ignore that simple border and only consider the 14 triangles. Each triangle requires 12 rows of knitting! So at the end, we’ll have done 14*12=168 rows.

In the last row, we’ll have 2(168)+9=345 stitches

So we have row1+row2+row3+row4+…+row167+row168 stitches.

This is 13+13+17+17+…+345+345

There are many ways to add up this arithmetic series. I get 30,072.

To find the sum to an even number of rows, let’s say we want to add up to row n. Then we have a total number of stitches of:

Whoa! It simplifies nicely!

When I’m knitting, I think about each set of 12 rows as one “triangular section.” And obviously, each set of 12 rows takes longer to knit than the previous set since there are more stitches. Let’s figure out how many more!

I wanted to see how much longer each section would take to knit than the section before. Each stitch takes about the same amount of time, so the second triangular section would be 564/276=2.04 times longer… Looking at the chart, we see:

And this makes sense to me. Although each section is taking longer to knit than the previous section, as we get near the end that ratio gets closer and closer to 1. This is because we’re only adding a fixed 288 stitches each time we create a new section, compared to the previous section.

And of course since the number of stitches in the first section is so small that adding 288 to that is a relatively large proportion of stitches,, while the number of stitches in the final sections are so large that adding 288 to that is a relatively small proportion of stitches.

Okay, let’s now get to time! I did a quick test of my knitting and it takes me about 4.651 seconds on average per stitch.

For the whole shawl it will take me:

30,072 stitches * 4.651 seconds / stitch * 1 hour / 3600 seconds = 38.85 hours.

But as I’m knitting, I think in terms of each triangular section. It’s too daunting to think in terms of the whole thing. So this is how much time it will take me-ish to do each section:

Okay. As I was doing all of this, I saw so many connections to calculus… derivatives and integrals! Maybe I’ll blog about that at some point… but hopefully you can see hints of those things popping up.

UPDATE: I wrote a quick followup for the blogpost showing some of the calculus connections: Knitting Math — Part II

[1] If you’re wondering… I’m really enjoying knitting this! It’s my first shawl, and I thought the pattern looked a little too advanced for me. In fact, it is the perfect first shawl! Stephen West has a tutorial video here. I’d say if you’re thinking of tackling a shawl, this is a great one to tackle!

Some places of exploration for younger kids who like math and who want more joyful math play

I got an email from a college friend about their kid Sam…

Ahoy Big Sam!

I have a question regarding Lil Sam. 

He’s big on math. 

Like big big. 

Do your colleagues in the lower school / primary school have a list of resources for self-directed math exploration for the youth?

Or even applied math via games etc so its more play / exploration vs workbooks?

It got to the point that he was asking us to come up with math questions that we just bought a stack of workbooks but those feel like work and less development of interest and joy. 

Now I don’t know anything about little kids. But I love that my friend wasn’t looking for workbooks and was more interested in “joy” and “play.” Below are what I’m going to recommend to my friend, but I think would be a useful list for any kid in pre-Kindergarten to grade 5.

Beast Academy: I remember another college friend reached out years ago with a similar question, and I turned to the online math teacher community and pretty universally I got “Beast Academy” as an answer over and over again.

I reached out to a kindergarten teacher who I adore (I mean, she plays board games with me). I once told her how much I was loving Tracy Zager’s book Becoming the Math Teacher You Wish You’d Had even though it was written for elementary school teachers, and she picked it up and read it! So she’s quality people. I also reached out to our lower school math coach. Both said the same thing:

Tang Math: especially the summer challenges.

Then I reached out to my new math teacher community on Mathstodon, and got additional suggestions:

MathPickle: I went to this site and loved it, and there is a link to a super fun activity book called the “Infinite Pickle” and upon quick browsing, I’m excited by it! And tons of puzzles! There’s also a page with lots of suggested board games and at the top of that page, it reads “#1 job for parents: establish a culture of board gaming in the home.” You know I’m a fan of board games, so I’m into all of this.

DragonBox Numbers game: not only did I hear about this online, but I went to a Desmos Fellows Conference a couple weeks ago and a few elementary school teachers were raving about this over lunch one day. So I heard about this twice in a few weeks when I had never heard about it before! Also, one can learn chess, apparently, with DragonBox chess and that was recommeded too.

Math For Love, of course! I’ve known about this site for years, with all the rich tasks and games (like Tiny Polka Dot!). There are lesson openers, rich tasks, and games (all sortable by grade level!).

Yokaku puzzles were recommended and were a new type of puzzle to me, and I think these are designed to build number sense and fluency — and can be written from the youngest students to the oldest students (like I saw some things I could use in my high school classes!).

Math Games with Bad Drawings is an awesome book by Ben Orlin (which might have my name in it, in a very tiny endnote) which is chock full of games (most new) that involve very little other than pencil and paper and maybe an occasional coin or paperclip) that I absolutely know I would use with my own children if I had any. Plus I think my friend who asked for suggestions would love reading the book (the prose is humorous) to get the games to teach his kids.

The easier levels of Area Mazes and Strimko puzzles were also thrown out there. I hadn’t heard of these types of puzzles, but when I googled, of course the great Sarah Carter comes to the rescue with really informative pages both on Area Mazes and Strimko puzzles.

Lastly, as I was putting together this post, I remembered two more resources that might be helpful to my friend. Kent Haines’ website Games for Young Minds and Christopher Danielson’s Talking Math With Your Kids. Both are deliciously wonderful. I definitely have bought the books “How Many?” and “Which One Doesn’t Belong” along with many fun play tiles from Christopher Danielson’s shop and highly recommend them.

I figure this post can be my personal repository if anyone asks for fun math enrichment on the pre-K to 5 level. But PLEASE leave a comment if you have any additional suggestions! I’m always looking for things to expand my knolwedge of cool math resources.

UPDATE: Ahhhh, I can’t believe I forgot this. At the Desmos Fellows Conference, the TV show on netflix Numberblocks came up a few times! And there’s a youtube channel. I even watched a few episodes with my niece and nephew and I really enjoyed them. (I think they were less excited about it because they’re older and we started with the very first episode.)

UPDATE 2: My friend who works for Illustrative Math said their “IM math centers” could be useful too! She expanded: “Go to link, navigate to a grade, find the tab that says “Centers” and poke around. I’ve heard they can be a bit hard to navigate at first just because there are a lot of them, and each one has ‘stages’ of increasing complexity. But if you download any set of blackline masters, the directions are written on them in kid-friendly language. Primary teachers sometimes mean different things by ‘centers’ but I take it to mean an activity that kids can do without adult supervision to practice or work on number sense.”

Hypercubes and more! Three problems you may enjoy working on!

One way I start my Advanced Precalculus classes is by having them thinking about n-dimensional cubes. We get there by first exploring the “Painted Block Problem“.

First I have kids look at one of these blocks (I think I give a 5x5x5 block) and have them notice and wonder. Eventually kids wonder what’s on the inside, why different parts are painted different colors, etc. And after some drama, we open up the block, and kids see the new color inside. The question they then are tasked with are how many mini-cubes of each color exist in an n x n x n block.

To be clear, green blocks have 0 exposed faces, yellow have 1 exposed face, blue has 2 exposed faces, and pink has 3 exposed faces.

Something that kids eventually stumble upon as they are working on this problem: in a cube, you have 8 vertices (pink), 12 line segments (blue), 6 faces (yellow), and 1 cube (green).

After they solve this problem, I introduce the idea of 0-dimensional cubes (a point), 1-dimensional cubes (a line segment), 2-dimensional cubes (a square), 3-dimensional cubes (a cube), and 4-dimensional cubes (a tesseract)… and how to draw them:

Now let’s look at a 2-dimensional cube (a square). We can see it’s made up of 4 points (0-dimensional cubes), 4 line segments (1-dimensional cubes), and 1 square (2-dimensional cube).

This snip from Wikipedia shows that fact, along with how many smaller dimensional cubes make up a higher dimensional cube.

Finally, here are three questions that I think are fun to ponder:

First, if you look at this chart, there is a really striking pattern…

If you take any number in the chart, double it, and add the number to the left of the number, you’ll get the number in the row below.

The question I ask my kids to answer: why?

Second, without thinking in this recursive way, can you come up with an explicit formula for how many k-dimensional cubes are in a d-dimensional cube? (So if k=1 and d=4, you should get 32.)

(I have only asked my kids this question once, but we had tons of scaffolding. I remember giving it to them the year I devised and solved the problem, and I wanted my kids to have the same gargantuan a-hah moment I had… A couple groups got it, but I realized looking back that the class time we needed to spend on it wasn’t worth the payoff.)

Third, if you add up all the numbers in a row of the chart, you see powers of three. WHAT?!?! ZOMG! Why!?!

Let’s Get MATHStodoning Together!

As we start navigating mathstodon together, my friend Julie and I are trying to create conversation, community, and maybe even friendship here by posting prompts to get us all talking! Now that there are so many math teachers on there, the question is: how do we even start the conversation? I figure this is one way to do so! I’m going to keep the prompts that we share updated here on this post.

The most recent prompts are at the top of the page, and if you scroll down you’ll see the earlier prompts.

PROMPT 14

#ClassroomMath #prompt14

My math teacher friends, this is the very last prompt from @samjshah and @jreulbach! And it’s not even really a prompt. Did you know that this year’s Teacher of the Year is a math teacher from Oklahoma? Her name is Rebecka Peterson, and SHE. IS. WONDERFUL. So task one for this post is for you to watch a short video with her, and then read her profile. We might have teared up at Rebecka’s last line in the video. 

Video: https://ntoy.ccsso.org/one-good-thing-rebecka-petersons-address-to-the-nation/

Profile: https://ntoy.ccsso.org/rebecka-peterson-2023-national-teacher-of-the-year/

Notice in her profile that she wrote “Amid a difficult first year of high school teaching, Rebecka found the One Good Thing blog. She credits daily posting there to helping her recognize the beautiful and positive experiences occurring in her classroom, which inspired her to stay in the profession.”

Last year, after hard years in the pandemic, I (@samjshah) decided to be intentional about bringing joy back into my teaching life. I wanted to keep a look out for the good. So I posted every day on the One Good Thing blog. 

https://onegoodthingteach.wordpress.com/

It’s a collaborative blog that has grown fallow. For most of last year, I was the only one posting. So for your second task, I ask you to consider archiving the good moments in your teaching life? It doesn’t have to be every day (though it can!). It can be once a week, or once a month, or whenever the spirit strikes you. If you are interested, send me a direct message with your email address and saying you want to join in, and I’ll add you as an author for the blog. 

With that, thank you for participating! We look forward to hanging out with you on mathstodon!

PROMPT 13

#ClassroomMath #prompt13

Math teacher friendsssss! Some of us have already started, and some of us are about to start! ACK! It’s always so busy and nerve-wracking at the start of the year. Learning and remembering kids’ names, getting back into the groove of teaching, setting up systems, etc. 

This is our penultimate prompt. We want to know what is ONE SMALL CHANGE you want to make this year. At the start of the year we can get so excited and overwhelmed with possibilities, and we want to change ALL THE THINGS! But the changes that often are the most meaningful and the most sustainable are small, intentional changes.

So if you already have one, throw down a small change you’ll be making this year, how you hope to make it (what you have to do to make it real), and why you want to make it.

If you don’t have one, maybe brainstorm a change or two that you are considering making! 

Tag your post with #ClassroomMath and #prompt13

PROMPT 12

#ClassroomMath #prompt12

Today we’re playing a hypothetical. Don’t get caught up in giving *the best* answer. It would just be fun to bandy about lots of ideas! In fact, give many ideas if you want!

How many times have you told someone you teach math and they say “OHHHHH, I was never good at math! I just hate it!” It’s a common refrain. But let’s pose this hypothetical…That person is your new friend, and you have dug getting to know them. And your new friend followed up “I also hate that I hate it! I really wish I understood how people can love math. Hey, I have an idea… I have a half hour free. Any chance you’d be willing to help me get a glimpse of how math can be not awful?”

Your new friend is open, curious, interested. 

What do you say or do during that half hour, with your new friend? 

Tag your post with #ClassroomMath and #prompt12

PROMPT 11

#ClassroomMath #prompt11

To preface this post, it’s important to recognize that *every school is different.* One teacher might have 35 kids in a class and another might have 12. One might have a lot of autonomy while another has to abide by prescriptive curricula. One might have teacher colleagues or one might be teaching alone. That being said:

I’m wondering if there are any structures or systems you set up in your classes… that you find helpful for you or for the kids. 

It can be about homework, about assessments, about the way you start every class, about exit tickets, about reviewing old material, about practicing math to gain fluency, about test corrections, about groupwork, about taking attendance, about WHATEVER! 

Tag you post with  #ClassroomMath, and #prompt11

PROMPT 10

#ClassroomMath #prompt10 #ClassroomBelonging

Okay math teacher friends! We’re keeping this prompt simple. What are small or large ways you create a sense of belonging in your classroom. 

They can be small teacher moves, larger structural pieces about how you set up your class, things you have hanging in your classroom, etc. But what are some things that you do in the hopes that you cultivate a sense of belonging? (And I have to note that of course there are many times we fail at this… but we keep on trying!)

Tag you post with #ClassroomBelonging,  #ClassroomMath, and #prompt10

PROMPT 9

#TeacherCrush #ClassroomMath #prompt9

Today’s prompt, math teachers, is about uplifting those that brought us into the classroom, and that sustains us in our schools. I have a terrible memory but I still remember three teachers from high school and one professor from college that had a huge impact on my decision to becoming a teacher. And I have so many colleagues who I love dearly who keep me sustained. So with that, here you go!

1. Who is a teacher that you had that meant a lot to you? What do you remember about them?

2. Who is a teacher colleague that you have currently that means a lot to you? Why?

Tag you post with  #TeacherCrush, #ClassroomMath, and #prompt9

PROMPT 8

#FirstDay #ClassroomMath #prompt8

Okay, so we’re in August. No matter where you are (if you’re in the US), this is the official wakeup month for school existing and us going back into that building. Yup! Like an ostrich, I try to keep my head buried, but I always have that pull… start getting your act together, kiddo! Figure the basics out. At least have a plan set for the first day!

So the question for you is: paint a picture of what happens on your first day of class (or part of your class)? Do you dive right into content, saving syllabus and structures for later? Do you set norms? Do you do something to begin to create community? What do you do?! Bonus points for any and all resources related to what you do — so we can copy!

Tag your post with #FirstDay #ClassroomMath #prompt8

PROMPT 7

#ClassroomMath #prompt7

For some of us, time is running out and school is almost starting up. For others, you’re in the middle of summer (or winter if you’re down south)! To help out our friends who are starting up soon, let’s talk about some start of year stuffs! We have a bunch of “start of year” prompts — chose to respond to one or many!

1. Do you have any decorations, posters, a math play space,  or something in your classroom(s) that you put up each year? If so, please share! (A picture always helps if you have one from years past!)

2. Do you have something on your desk that you absolutely love? A stamp that says “Show your work!” or a framed letter from a student or an organizer you can’t live without or a special set of grading pens you love? Share, please!

3. What’s the very first thing you say to your new students on the very first day? 

4. Back to school nightmares. They’re weird, they’re awful, and it feels good to know others are having them. Have you ever had them? Do you still have them? What are they about? 

Please tag your post with #ClassroomMath and #prompt7 

In our next prompt, we’ll have people share some of their first day lessons… So start thinking about what you’ve done with your kids in previous years!

PROMPT 6

#ClassroomMath #prompt6 

It’s summer!!! And before you are in full mathing mode for the fall, let’s take a short break and share our favorite NON-teaching books, movies, or TV shows that we are enjoying this summer. 

For free books, we have discovered the Libby app. To use Libby, all you need is a library card, and then you can borrow free ebooks, digital audiobooks, and magazines from your library! 

  1. Share a book(s) that you really enjoyed. You can also add a picture of your favorite summer place to read if you would like.
  2. Share a movie or TV show that you have recently been watching (and if on a platform like Netflix/Hulu/Prime/etc., what platform?).

Please tag your post with #ClassroomMath, and #prompt6

PROMPT 5

#ClassroomMath #prompt5 

Unfortunately, so many people have experienced a mathematics that is devoid of humanity. Francis Su, in a powerful lecture [https://mathyawp.wordpress.com/2017/01/08/mathematics-for-human-flourishing/] points out that mathematics should contain experiences of play, beauty, truth, justice, and love. For this week, we want to see and hear how you, as math teachers, bring out the humanity in mathematics — in small or large ways! So we have a two-fold prompt. Pick one and go for it!

a) How do you highlight that the doing of mathematics is a human endeavor?

b) How do you express your identity as a doer of mathematics, and share your “why” for doing mathematics with, to kids?

Please tag your post with #HumanizingMath, #ClassroomMath, and #prompt5 


We purposefully crafted these prompts to be open-ended and anticipate many diverse responses! Might it be that you share math history, so students know math is historically and culturally situated? Might it be that you highlight the achievements of mathematicians that look like your students, or don’t look like your students? Might you create a classroom community that empowers your students to bring their whole selves into the classroom? Might you have routines that build relationships among the mathematicians in your classroom? Might you teach mathematics through a social justice lens? There is nothing is so small that isn’t worth sharing! Sometimes it’s the smallest things that we do that can have the largest impact!

For some of you, this might seem familiar. It was for a virtual conference @samjshah had put together years ago with Hema Khodai. Feel free to read some of the responses here: https://samjshah.com/humanizing-mathematics-convention-center/

PROMPT 4

#ClassroomMath #prompt4 

Today, my math peeps, we’re going to be sharing and maybe doing math! Is there a problem that you love having your kids work on? A favorite problem that evokes conversation and ah hah moments? Or is there a math problem or puzzle you’ve seen or done that made you go “oh, wow!”? 

In your post:

1. Write down your math problem! If you use it in your class, share the grade/class you use it with, and why you like the problem for your kids. If it’s just a recreational math problem or puzzle, feel free to just drop it in the post. You can decide whether you want to give a hint or not! (NOTE: you can use the “CW” button when writing a post to hide the post’s content until someone clicks on it… so you can type the problem in one post, and then in a reply to that post, you can use “CW” to hide the hint until someone decides they want to see it.)

2. Tag your post with #MathPuzzle and #prompt4 and #ClassroomMath

Don’t forget to bookmark any problem/puzzle you might want to use in the future! 

To practice using the site, we have just one challenge for you: practice using the fancy math ability of mathstodon to write an equation in a post. The fancy math equations only show up when you read posts on the desktop (not in apps, yet…), but it’s pretty awesome. 

From the desktop page, click on the “f(x)” button and click “inline equation.” Some slashes and parentheses will appear. In between those, type: 

g(x)=\frac{\sqrt{3x-5}}{3}+\frac{x^{52}-x}{3\pi \sin^{2}(x)}-5x^{6}+a_{n}

See what happens! Believe it or not, you’ve typed pretty LaTex math. 

PROMPT 3

#ClassroomMath #prompt3 

This week will be fun and frivolous in the best kind of way, dear peeps who love math and teaching! We’re going to do two things. We’re going to play “Some truths and maybe a lie?” and also you’ll share a photograph from your phone that brings you joy — and explain why. 

In your post:

1. Write down three facts about yourself, but one, two, or all three can be lies! 

2. Share your photo and explain why it brings you joy.

3. Tag your post with #prompt3 and #ClassroomMath

Of course the whole point of this is to get people talking! So after you post, look around at other posts with the #prompt3 hashtag and make a guess! Are any of them lies? All of them? Bonus fake points if you start talking with someone you’ve never talked to. 

As always, to practice using mathstodon, two challenges. First, find a new hashtag based on one of your interests that people are posting with (for example, #knitting) and “follow it” so it shows up in your timeline. Then share it with the #ClassroomMath community in case others are interested. 

Second, many of you have been using the official mastodon app, but (@jreulbach and @samjshah) have tried many apps and we’re loving IceCube for iPhones: https://apps.apple.com/us/app/ice-cubes-for-mastodon/id6444915884. So our first suggestion is to check that out! 

If you have any ideas for future prompts or ways to build community, please DM @samjshah and @jreulbach! We’d love help keeping the conversations happening!

PROMPT 2:

#ClassroomMath #prompt2

Superb! We’re introducing ourselves, we’re getting used to the platform! Wunderbar! 

One thing we all have in common in this community, no matter how different we are (including in many of your terrible rankings of desserts from #Prompt1), is that we have worked with kids in the classroom teaching math. We all have millions of stories inside of us that are hilarious, heartbreaking, harrowing, hopeful… When you rallied against the administration, when a kid said something wonderfully outrageous, when you accidentally had an answer to a start-of-class question be 69 and you were being observed… 

So we ask you to share just one small story from your teaching life — something you’re comfortable sharing! Something you’d share with friends over dinner after a particularly eventful week. (Remember if you use the mathstodon.xyz site, you can get 1729 characters in a post.)

In your post:

1. Share your SMALL story. No pressure… and remember this is a judgment free zone. 

2. Tag your post with #Prompt2 and #ClassroomMath

Lastly, to practice using mathstodon, here’s the new challenge! In the next few days, go to your LOCAL timeline. That’s posts by EVERYONE on mathstodon.xyz (or whatever “instance” you’re on), not just people you follow. Find someone new to follow AND boost a post of theirs that you find. (Boost is like a re-tweet.) That will help others who follow you see something you find interesting… and maybe they’ll start following that person too.

PROMPT 1:

We love how many math teachers/coaches/etc. have joined mathstodon! Huzzah! It’s strange coming into a place where we have to build community again. If you haven’t joined yet, you can read my post about getting started on Mathstodon! Join us!!!

We also know some people feel totally lost. So we (@jreulbach and @samjshah) thought we should have some get to know you prompts so we can meet each other and start talking!  Some will be about math/teaching, some will be challenges for you, some will be fun frivolous things!

To start, write a post (or a series of posts) sharing:

  1. Who you are, what you teach or do, which city/state you teach in.
  2. If you had to rank the following, what order would they go in: pies, donuts, cakes
  3. What are some things you enjoy spending your time on outside of the classroom?

Tag your post with #prompt1 along with #classroommath and #introduction.

And a challenge: try to respond to 2-3 other people! Fake bonus points if they are people you don’t know (which might be everyone for you)!

(Pro tip: If you use the desktop version of mathstodon.xyz you can get 1729 characters in a post.) 

Also, we’re going to try to include some “mathstodon” challenges to help you learn what it can do and how to use it! So your first challenge is to add all posts with #classroommath to your timeline! Since there are so many different apps, see if you can figure out how to do it on your app. On the desktop, search #classroommath, click on it, and look for the little person icon with a + sign on the top right. Click that! You’ve just added all posts with #classroommath to appear on your timeline! 

#mtbos #iteachmath

Mastodon???  MATHStodon!!! Join Us!

(From Sam Shah and Julie Reulbach)

What We’re Doing and Why:

Okay, friends. Twitter was acquired by Elon Musk and seems to constantly be on the brink of imploding and full of misinformation, and now ads about every three tweets. There is that whole pandemic thing where many of us were just trying to keep our heads above water — and so we connected less with the online math community. Twitter Math Camp became a thing of the past. And blogging was already on the decline. 

And you know what? We miss our math teacher community so goshdarn much. We miss talking with each other, throwing lesson ideas out there, sharing what we’re reading and cooking, talking about equity and belonging in our classrooms, commiserating over failures and celebrating successes. We miss you

I once read this quotation which stayed with me: “Don’t complain about that which you have the power to change.” So let’s change things! We found a twitter alternative called Mastodon (specifically an “instance” called mathstodon.xyz) which isn’t exactly the same, but is pretty awesome. You can type equations! Posts can be longer than on twitter. And unlike twitter which has a lot of junk on it, the place we’re proposing is a place for people who love math and is run by a mathematician

(This isn’t to suggest that you give up twitter like we did, if you’re still on there… this could be something you do in addition to twitter.)

What is mathstodon.xyz? How is mathstodon.xyz is different From Twitter? What’s the same?

Mastodon is like a “universe” of twitters. Anyone with a server can set up their own “instance” of twitter, with their own rules of conduct. When people were initially nervous about twitter breaking, a bunch of math peeps created mathstodon.xyz. So anyone who signs up for mathstodon.xyz is pretty much already a math nerd.

When you join (instructions below), you can talk with and be friends with anyone on any server of mastodon — not just the math one. But by joining mathstodon.xyz, in addition to seeing all the posts written by people who you’re friends with, you can also see all the posts written by anyone on mathstodon.xyz. So you can read lots of interesting things written by professional math geeks, and use that to find new people to follow. :) That is one shift — though. Twitter has an algorithm that helps you find people, while mastadon doesn’t.

Posts (aka. tweets) can be longer than 280 characters! You can edit your posts! If you know latex, you can write equations in your posts! You can both “star” (favorite) posts and bookmark posts! 

What’s the same? You can still send DMs. You can still create lists. You can still use hashtags. (We want to create a hashtag for math teacher tweets, like #classroommath, so we can easily find and post about math teaching.) You can “boost” (retweet). You still get it for free. And you can use it both as an app and on the web. 

Want to see what a page looks like? Here’s Sam’s (https://mathstodon.xyz/@samjshah) and here’s Julie’s (https://mathstodon.xyz/@jreulbach)

As an important aside, mathstodon has rules of conduct which are thoughtful and inclusive, while Twitter is pretty gross in all the ways.

How to Sign Up:

First, you need join the Mathstodon server of Mastodon. Mastodon is not a single website so, you need to pick a server to join. 

“Mathstodon.xyz is a Mastodon instance for people who love maths!” 

Be aware that sign up is not automatic. You will need to verify your email and then be approved to join this group. But, it doesn’t take long! So follow these steps and get going!

  1. We found signup easier to do on our computer than with the app.
  2. Go to the Mathstodon.xyz page. 
  1. Click Create Account, and then agree to follow the rules.
  2. Fill in all of the fun stuff, then Request an Account.
  1. Once finished, you will receive a notification email from mathstodon.xyz asking you to verify your email address. 
  1. After verifying, my account was active about 20 minutes later! You will get another email welcoming you to Mathstodon with a link to set up your profile. 

YAY! You’re in! Now what?

Set up your profile! You can do this by clicking on the link in your Welcome email, or by clicking on “Edit Profile” under your name.

  1. Upload an avatar and a header (if desired). 
  2. Uncheck Require follow requests. I left this unchecked, as I am trying to build my mathy network on here, and want all the mathy people to connect with me.
  3. Check Suggest account to others. I selected this, for the same reason as number 1.
  4. Uncheck Hide your social graph. I left this UNCHECKED, because if you check this box, your followers and who you follow will be hidden from other users. We didn’t want this hidden, as your mathy friends followers are often people you want to be able to follow. 

Tips For Getting Started:

  1. Follow us! Sam is here at https://mathstodon.xyz/@samjshah and Julie is here at https://mathstodon.xyz/@jreulbach. We will follow you right back! Also, our follow lists are open (Sam’s list, Julie’s list), so you can check them out and quickly follow everyone there too!
  2. Play around with it and see what you can figure out on your own. It’s not the same as twitter, so don’t expect it to work exactly like twitter. But it’s super similar, and has some added benefits!
  3. Get an app! We’ve tested out both the main Mastodon app (iphone, android) and Metatext (iphone) and like both! Metatext is most similar to what the twitter app felt like.
  4. Turn on all notifications. We found this part really fun, especially since Twitter has dried up! And we want to get the conversations going! 
  5. Put the app icon on your phone’s first page so you will check it and use it frequently. 
  6. Add yourself to the #MTBoS on Mastodon Google Sheet, so other people can follow you! And start following people from the spreadsheet! 
  7. Write a post/tweet introducing yourself! Where are you in the world? What do you teach? What’s something that you love about teaching? What are your hobbies? Maybe add #mtbos and #classroommath to your posts so others will be able to find it!
  8. Be patient. It’s going to take time for people to join and conversations to happen. It’s not like you’re joining an already thriving community — you’re helping build a community that will soon be thriving! So give it time to happen!

Privacy in Mastodon

You can also be private on Mastodon. This setting in found in > Preferences > Other.
Public – Everyone can see

Unlisted – Everyone can see, but not listed on public timelines.

Followers-only – Only shown to followers.

Fire Hydrants

In Geometry, we have seen the importance of the perpendicular bisector. It’s kinda amazering! And before we delve too far into rotations of figures (which, again, have a lot to do with perpendicular bisectors), my co-teacher and I wanted to do some sort of investigation.

Now, after doing this, I can see what I did as being something that could introduce the awesomeness of the perpendicular bisector. It could be our anchor problem. However, we had already introduced it. So I thought this little aside would be a fun solidification of what we’ve already learned.

(To be clear, students have learned that the perpendicular bisector of a segment is the set of all points that are equidistant from the endpoints of the segments, that the three perpendicular bisectors of the sides of any triangle meet at one intersection point, and that one intersection point is the center of the circle containing all three vertices of the triangle)

Here’s the problem I gave them… however to turn them off the scent of the perpendicular bisector, beforehand I said “okay, class, now we’re doing to go on a little diversion…Here are 4 fire hydrants”

Let’s say there were fires at these four yellow locations. Which is the closest fire hydrant to each?

Okay! Some are easy to just “see” and some might require some calculations.

So next I asked students to try to color in the picture with all locations which are closest to Hydrant A, all locations which are closest to Hydrant B, all locations which are closest to Hydrant C, and all locations which are closest to Hydrant D.

Unsurprisingly, students filled in the edges of the diagram first (so the top left area was all A, the top right area was all B, etc.).

Unsurprisingly, eventually all students asked “what if a location is the same distance to two hydrants?” (I said you could just color that black.)

Surprisingly, since we had *just* been working on perpendicular bisectors, I was surprised that it took 7-10 minutes of working in groups before I heard the first student say perpendicular bisector. I made sure to have that word repeated and spread from group to group. I anticipated that as soon as students would think about A and C (and how there’s an infinite number of points equidistant, with that horizontal line that can be drawn)… or as soon as students would think about A and B (and how there’s an infinite number of points equidistant with that vertical line that can be drawn), it would unlock the whole problem. But my intuition led me astray. I honestly thought they’d finish this in 10 minutes, but it took around 20-25 minutes. But it was worth it. Eventually we got to this…

Now I will say that this region was tricky for kids…

(Note to reader: we talked more about this in the next class, and pointed out that the intersection point at the top of the yellow circled region was equidistant to A, B, and C (so it was like the intersection of the perpendicular bisectors of triangle ABC), and the intersection point at the bottom of the yellow circled region was equidistant to B, C, and D (so it was like the intersection point of the perpendicular bisectors of triangle BCD)).

After all this, I gave my kiddos a follow up “backwards” task that I invented but I didn’t have an elegant/simple way to solve. I just was curious what they would do…

I said “here’s the diagram… can you find out where the fire hydrants are?”

They had good discussions, but we had such little time left in class, and I wanted to get to some resolution. First, I said, “play with trial and error… all the hydrants are on lattice points.”

They had good discussions. But again, we were short on time. So I said: “okay, I’m going to give you ONE hydrant location. From that ONE location, you should be able to find all the others.”

And indeed, kids were figuring the others out. We had learned about perpendicular bisectors as lines of reflections, so some kids started folding their paper along the lines to get more hydrants…

And then you can get the very last one by reflecting the purple hydrant over the vertical perpendicular bisector. To me, I like that students could see that once you had ANY hydrant, they could get all the rest of the locations. For me, that’s a nice takeaway. As I said, I was just curious to see what they might come up with.

At the very end of class, literally the last 5 minutes (I wish I had more), I gave a little lecture on what these things were. They are called Voronoi diagrams. You can literally see the creation of them by this dynamic image (from Wikipedia):

And then I showed them how a giraffe’s spots are a Voronoi diagram!!! You can click the images to get a bit more

At the start of our next class, to see what students retained, I gave each student this diagram and told them to make a Voronoi diagram for it.

I was proud that most students could do this, fairly easily. Then when we had the solution…

… I asked what did all points on the purple ray represent, what did all points on the red ray prepresent, what did all points on the yellow ray represent, and what did the green point represent. Kids seemed great with this. And then I drew a circle (on the Smartboard, using the circle drawing tool) with a center at the green point, and made it bigger and bigger until lo and behold… it hit points A, B, and C. Huzzah!

Update: David Sabol shared this amazing Desmos activity (by Joel Bezaire) which is like what I posted above but is in many ways better. And deals with food deserts (thus social justice) naturally and seamlessly: https://teacher.desmos.com/activitybuilder/custom/5d2a410855693a4619850fd5

Update 2: And of course Bowman Dickson created a cool project out of this… link to his tweets about it here: https://twitter.com/bowmanimal/status/1589804876686675969 of course he did this recently but since I haven’t been using Twitter… I missed it.

PCMI 2022 Post 6: Building Party

Yesterday evening at 7pm, a bunch of math teachers and other PCMI folk gathered in the teacher rooms to build math art. Each table had a different thing one could build (slideshow):

It was sweet to see one participant bring their kid, and another bring their partner, and we all had fun creating delicious little things we could take home. I didn’t end up working on any of these set projects because I wanted to continue to learn to knit. One of my PCMI goals was to learn to knit. I remembered Peg was an expert and so I reached out to her before PCMI to see if she would be able to teach me — which she happily did! (And in fact, last weekend, she took me and a few others to Salt Lake City for a yarn/fabric crawl which was so wonderful). I wanted to learn because I’ve been listening to a lot of audiobooks since I’ve had a hard time concentrating on reading since the pandemic. And I figured having something to do while listening would be neat. So during the entire building party, with 80s music blasting, I practiced my knit stitch and perl stich. I made what I thought was a number of mistakes and so I cast and threw out my initial attempts two different times. The third time I was successful-ish. I did three rows of knit stiches, and then I alternated a bunch of knit and perl stitches. I started out with 10 stitches, but somehow ended up with 11 stitches. And a few times, I looked at my needles and didn’t understand what was going on… I had something twisted or I thought I had made a stitch but I didn’t. At those points, I didn’t know what I was looking at so I asked Peg and Rebecca for help — and so I now have a sense of what to look for. However I realize my next step is to learn how to deal with mistakes… What do I do with the 11th stitch that I didn’t want? How do I analyze my knots/stitches to be able to undo them if there is something wrong? In other words, what are ways to deal with errors? In any case, this is what I have so far.

When I wasn’t knitting, I was going to the different tables, looking at all the colorful things people were making. Here’s a collection of some of the objects that were made, displayed the next day… but not everything!

Being surrounded by all this math-art reminded me of the math-art show I helped organize at my school, which we titled Technically Beautiful.

While knitting, I was sitting at the table where people were making the “straw thingy,” which was actually 5 intersecting tetrahedra.

The first time I heard of these tetrahedra was when looking in an math-origami book and saw a connection to a multivariable calculus project. It turns out to get the tetrahedra to interlock perfectly, so they didn’t jiggle around, is a tricky problem. Years ago a student of mine did a project on this:

What I loved is that all I associated with these tetrahedra was this math — finding the coordinates for the vertices of the points, and finding the optimal strut length. However while I was sitting at the table knitting, I was talking with a math professor who shared with me that he sees a “proof without words” with these tetrahedra. He saw something different mathematically than I did. He told me that one could see those interlocking tetrahedra as representing a particular mathematical group. It isn’t quite the permutation group of 5 objects, but rather if you have 5 objects and permute two pairs of two objects (so if you had 12345, you could do a move like 12345–>21345–>21435, or 12345–>21345–>23145). I think he called that group the alternating group of 5 objects. And then he showed me how if you look at the interlocking tetrahedra, and rotated it around a vertex, face, or edge, you get that same group (like the colos of the straws, after a rotation, swap… but in the way of the alternating group). It was fun to have someone way above me in math explain something to me, who would allow me to ask questions, and use hands on manipulatives (we pulled out straws, and did the rotations!) to make things make sense for me. And apparently, this alternating group of 5 objects deals with the insolvability of the quintic equation, something I learned about ages ago in college, but now is faded, distant memory. [Sorry if any of my descriptions are wrong… It was an informal conversation and I haven’t had time to research it yet to flesh it out.]

What’s neat is that now, these interlocking tetrahedra mathematically for me no longer represent only a mathematical question about optimization (the “optimal strut width”) and an interesting problem about how to find the coordinates of the vertices. These interlocking tetrahedra now also represent for me a group, and connects up with the insolvability of quintic equations! Again, I am reminded of the Francis Su quotation from two PCMI posts ago, which talked about how mathematical ideas don’t exist in isolation. Instead, they build up in time and get richer and fuller when they do. I see something different now when I look at these interlocking tetrahedra than I did before the building party.

Lastly, if you want to have your own math building party, or create something that you see a picture of above, here are all the instructions to the creations!

t